当“药食同源”邂逅免疫科学:414种草药LPS数据,揭开"扶正固本"的营养内涵!
414种草药提取物中LPS在先天免疫激活中的作用
414种草药提取物中LPS含量的基线数据收集及其在先天免疫激活中的作用
在追求健康与养生的漫漫征途中,中药(草药提取物)宛如一座神秘的宝藏,承载着无数防病治病的希望。长久以来,黄酮、皂苷、多糖等“明星成分”备受瞩目,人们执着于从植物细胞里探寻中药发挥神奇功效的密码。然而,科学探索的脚步永不停歇,在“药食同源”传统智慧与前沿免疫科学的交汇处,一个隐藏在中药背后的“无名英雄”正逐渐浮出水面,它就是一个曾被长期误解的成分——脂多糖(LPS)。
长久以来,LPS因与细菌相关,被贴上“内毒素”的标签,仿佛它是必须清除的健康威胁。但如今,科学研究的浪潮正在颠覆着旧有的认知——口服LPS不仅不会引发炎症,反而能温和有效地激活人体先天免疫、成为维持防御平衡健康的重要调节者。那么,我们日常所用的中草药,是否正是这种有益LPS的天然来源?一项针对414种草药提取物的大规模系统性研究给出了肯定答案。研究发现,部分草药中尤其是某些根茎与叶类——其LPS含量足以显著激活免疫细胞,这些LPS很可能是草药发挥“扶正固本”作用的活性成分之一。这一发现打开了中药功效背后那扇被忽视已久的神秘之门。
接下来,让我们一同走进这项研究,看科学如何重新诠释经典,并探寻哪些草药可能因富含LPS而成为我们身边的天然免疫助力。这或许将引导我们重新评估一味草药、一剂配方乃至日常饮食中天然物质的真正价值。
414种草药提取物中LPS含量的基线数据收集及其在先天免疫激活中的作用
摘要
部分草药提取物中含有相对较高含量的脂多糖(LPS)。由于口服LPS可在不诱发炎症的前提下激活先天免疫,因此其作为草药提取物中的活性成分发挥作用。然而,目前对草药提取物中LPS含量的评估仍十分有限。本研究旨在建立草药提取物中LPS含量的数据库,为此测量了414种草药提取物中的LPS含量,并评估了其激活巨噬细胞的潜力。采用动态浊度法检测,LPS浓度范围从数ng/g到数百μg/g(以标准大肠杆菌LPS当量计)。12份样本LPS含量>100 μg/g,其中包括7份来自草药提取物的根部和3份来自草药提取物的叶类。这些样本显示出较高的吞噬活性和一氧化氮(NO)生成能力,而使用LPS抑制剂多粘菌素B进行的进一步研究显著抑制了巨噬细胞活化。本研究表明,部分草药提取物含有足以激活先天免疫的LPS浓度,因此,研究者提出了一种基于LPS含量评估草药提取物功效的新方法,而建立不同草药提取物LPS含量的数据库则对于该方法至关重要。
关键词: 脂多糖、草药提取物、巨噬细胞活化、数据库
介绍
脂多糖(LPS)是革兰阴性菌外膜中的脂质-多糖复合分子¹⁻²。长期以来,LPS被认为是一种内毒素,因为它与Toll样受体(TLR4)³⁻⁶结合而被广泛用作有效的炎症诱导剂,激活核因子-κB(NF-κB)⁷⁻⁹,促使白细胞介素-1β(IL-1β)¹⁰⁻¹²、白细胞介素-6(IL-6)¹³及肿瘤坏死因子-α(TNF-α)¹⁴⁻¹⁵等炎性细胞因子大量释放,静脉注射时可引发高热、腹泻甚至休克¹⁶⁻²⁰。此外,尽管口服LPS不会在健康个体中诱发炎症,但研究发现,在肠道和牙周组织存在持续性炎症病变的疾病中,屏障功能受损、细菌易位仍可发生。体内实验模型显示,持续性细菌和LPS侵袭可诱发全身性炎症,这表明LPS参与了包括生活方式相关疾病在内的慢性炎症性疾病²¹。
然而,含有脂多糖(LPS)的革兰氏阴性菌大量存在于人体肠道²²、皮肤²³⁻²⁴以及与外界接触的其他器官中,且在健康状态下不会引起任何炎症反应²⁵。由于使用抗生素导致肠道中这些革兰氏阴性菌数量减少,造成抗菌肽59含量下降²⁶⁻²⁷,从而使个体更容易受到感染²⁸⁻²⁹。因此,肠道和皮肤中的LPS被认为在维持健康方面发挥着有益作用。此外,缺乏LPS暴露与过敏性疾病和感染性疾病的易感性相关³⁰⁻³¹。这表明,LPS一直在不知不觉中通过口服和经皮途径被摄入,从而维持健康。
此前的一项研究发现,脂多糖(LPS)存在于多种植物中,包括草药提取物³²。众所周知,大米和小麦等主食中也含有多种LPS,摄入这些LPS可赋予功能性益处。此外,从小麦中分离出的成团泛菌(Pantoea agglomerans)被确定为主要的LPS共生菌³³。口服成团泛菌LPS(LPSp)可增强小鼠腹腔巨噬细胞的吞噬作用,但在TLR4缺陷小鼠中未观察到该效果³⁴。这表明口服LPS通过TLR4依赖的先天免疫促进异物清除。此外,在疾病预防和治疗实验中,口服LPSp被发现可增强抗癌药物疗效³⁵、促进肺转移的治疗³⁶、抑制特应性皮炎的瘙痒²⁵、预防载脂蛋白E(ApoE)缺陷小鼠的动脉粥样硬化³⁷、预防脑—糖尿病诱导小鼠的痴呆³⁸等。最近一项研究还发现,口服LPS通过增加2型糖尿病(一种据称由LPS诱导的疾病)脂肪组织中胰岛素信号相关因子(尤其是脂联素)的表达,从而抑制糖尿病症状³⁹。此外,LPSp在大鼠实验中已证实具有高度安全性,以口服剂量达2 g/kg体重(BW)及以上更高剂量时未观察到不良反应⁴⁰。
根据上述研究,摄入食物中的脂多糖(LPS)很可能激活并调节先天免疫。此外,考虑到LPS存在于草药提取物中,服用草本提取物也可能激活人体的先天免疫调节。草药提取物被定义为源自植物、动物及其他生物体任何部分或多种部分的天然未经提纯物质,含有一种或多种旨在缓解、治疗或预防疾病的活性成分⁴¹。上述小麦是一种被列入《2022年日本非药典草药提取物标准》的草药提取物,被称为Shobaku⁴²。 通常认为,服用草药提取物的整体健康益处源于活性成分的低分子量。 然而,草药提取物中足量的LPS可激活先天免疫系统,因此,LPS也应被视为草药提取物的活性成分之一。随着口服LPS对先天免疫系统的激活作用逐渐显现³⁴, 草本提取物中的LPS作为中草药功效的组成部分,值得进一步关注。因此,需要建立草药提取物和食品成分中LPS含量的数据库,以使这一概念成为常识。
1992年,我们的研究团队曾对约60种植物样本(包括草本提取物)进行了LPS含量筛查,发现部分植物的LPS含量高达100 μg /g以上³²。但此后,针对草物中药提取LPS含量的测定研究鲜有开展。Montenegro等人首次报道了LPS在汉方药中激活巨噬细胞(一种先天免疫机制)的能力⁴³。该研究显示,由10种草本提取物配制而成的免疫增强型汉方药“十全大补汤”中,其巨噬细胞激活成分与LPS含量存在相关性——这些LPS来源于其中一味药材内存在的共生细菌。研究表明,LPS是十全大补汤中激活并调控巨噬细胞(先天免疫)的功能性成分;由于大多数草药提取物都含有能提供LPS的共生细菌,LPS可被视为众多草药提取物先天免疫系统的活性成分。因此,若能获取草药提取物中LPS含量的相关信息,既能佐证口服摄入LPS不会诱发炎症的认知,也能为“LPS作为草药提取物有效成分”这一理念提供新的视角。然而,如前所述,目前从LPS角度评估草药提取物的数据仍极为有限。
因此,为提供草药提取物及其他食品成分中LPS含量的全面综合数据,本研究对414种草药提取物的LPS含量进行了测定与比较。此外,还对LPS含量特别高的草药提取物进行了巨噬细胞激活潜力的比较和测定,以探讨LPS含量与巨噬细胞活性之间的关联。
结果
草药提取物中LPS含量的测定
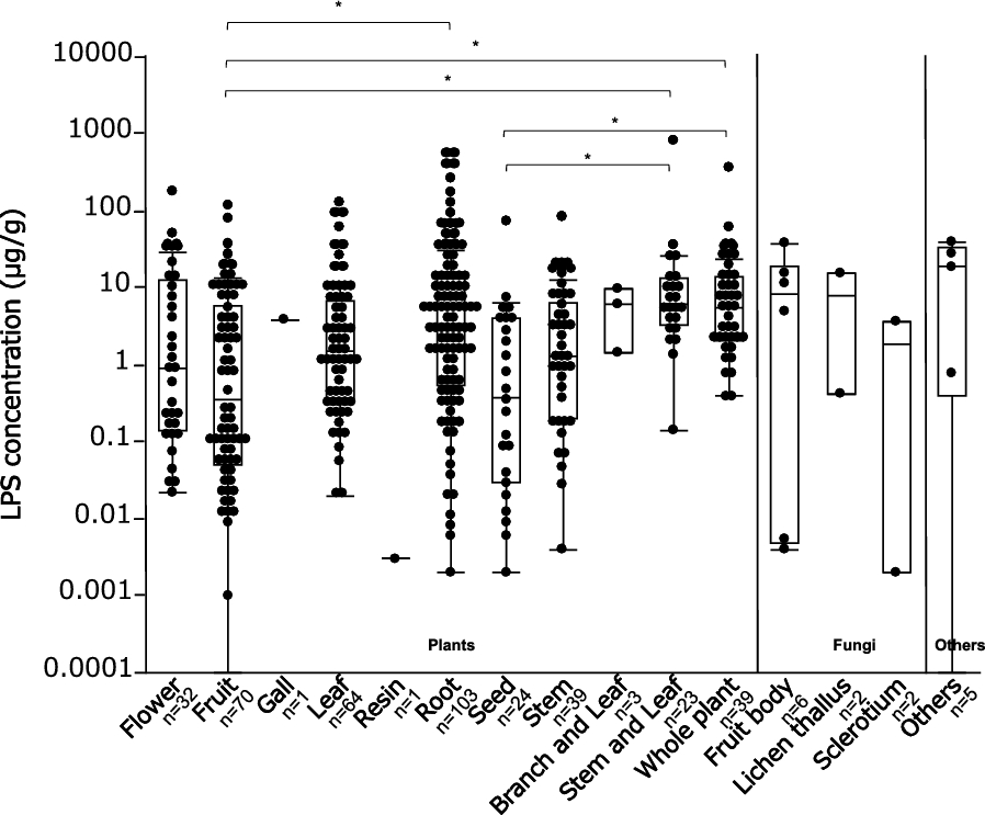
通过鲎试剂活性检测法,对草本提取物中的LPS含量进行了测定。表1展示了从维管植物、真菌及其他来源获取的414份草药提取物样本中LPS浓度,其范围从低于检测限到数百μg/g不等。图1展示了各物种内LPS浓度的分布情况。维管植物来源的草药提取物根据其取材部位进一步细分,本分析中,各组别依据药材分类法进行划分。结果表明,LPS含量较高的草药提取物成分主要存在于维管植物组。对维管植物不同部位的比较显示:根部(107份样本)的LPS水平显著高于果实(69份样本)和种子(22份样本);叶片(68份样本)的LPS水平也显著高于果实(69份样本)。所有样本的平均LPS浓度为17.4±69.3 μg/g。其中,有12份样本的LPS浓度>100 μg/g(含量较高),80份样本浓度为10–100 μg/g,162份样本浓度为1–10 μg/g。我们筛选出LPS含量显著偏高的12份样本(列于表2),用于进一步测试LPS的巨噬细胞激活效应。测定结果表明,草药提取物中含有LPS,且不同植物部位的LPS含量因取材不同而有所差异。
图1. 采用鲎试剂法测定的414份样本中LPS浓度的分布情况。
表2. 十二份草药提取物样本中LPS含量显著高于其他样本。
表1. 414份草药提取物的LPS含量。对于具有多个学名的草药提取物,本表所列学名均为日本最常用的学名。








草药提取物巨噬细胞激活潜能的测定
本研究对12种LPS含量≥100 μg/g的草药提取物样本进行了巨噬细胞激活潜能检测。通过用草药提取物刺激RAW 264.7细胞,测定其吞噬作用和一氧化氮(NO)的产生,来评估巨噬细胞激活潜能。以纯化的LPSp进行刺激作为阳性对照。与未刺激对照组相比,所有样本的吞噬活性均显著增强(图2)。当使用燕麦(Avena sativa L.)、圣莲(Nelumbo nucifera Gaertn.)、土当归根茎(Aralia cordata Thunb.)、骨碎补(Drynaria roosii Nakaike)、匍匐冰草(Elytrigia repens (L.) Gould)、白芷根(Angelica dahurica)、紫萍(Spirodela polyrhiza (L.) Schleid.)、玉米须(Zea mays L.)和柴胡根(Bupleurum falcatum L.)进行刺激时,RAW 264.7细胞的吞噬能力与阳性对照LPSp相比有所增强。生姜(Zingiber officinale Roscoe)刺激组的吞噬能力与LPSp相当,而艾叶(Artemisia princeps Pamp.)和苦瓜(Momordica charantia L.)刺激组的吞噬能力则低于LPSp。LPS含量与吞噬作用之间的Pearson相关性分析显示存在明显的正相关(R=0.474),这表明生药中的LPS可能会增强巨噬细胞的吞噬能力,但其他因素也可能参与其中。
图2. 表2列出了含有最高LPS水平的12种草药提取物样本刺激RAW 264.7细胞的吞噬活性百分比。

为了比较12种草药提取物与阳性对照LPSp的一氧化氮(NO)生成能力,图3展示了这12种草药提取物样本的剂量-反应曲线。根据诱导产生比LPSp多5 µM亚硝酸盐所需的LPS量,将12种草药提取物进行分组。与LPSp相比,燕麦(Avena sativa L.)、圣莲(Nelumbo nucifera Gaertn.)、骨碎补(Drynaria roosii Nakaike)和匍匐冰草(Elytrigia repens (L.) Gould)、在单位LPS含量下所需的样本量更少即可诱导产生5 µM NO(图3a)。玉米须(Zea mays L.)、柴胡根(Bupleurum falcatum L.)、白芷根(Angelica dahurica)、紫萍(Spirodela polyrhiza (L.) Schleid.)和白芷根(Angelica dahurica)则需要与LPSp相当的LPS量(图3b)。而生姜(Zingiber officinale Roscoe)、艾叶(Artemisia princeps Pamp.)和苦瓜(Momordica charantia L.)在单位LPS含量下需要比LPSp更多的样本量才能诱导产生5 µM亚硝酸盐(图3c)。表3显示了每种草药提取物诱导产生5 µM NO所需的LPS含量及其相对于LPSp的NO诱导强度。
图3.通过测量NO生成量(以RAW264.7细胞在添加1、10和100纳克/毫升LPS刺激后产生的亚硝酸盐量为指标)测定的巨噬细胞活化能力剂量-反应曲线。该实验采用表2列出的12种含最高LPS含量的草药提取物样本。

表3.诱导5 µM 亚硝酸盐所需的LPS含量对应的草药提取物等效量,即与LPSp相比的相对亚硝酸盐诱导强度。图3中各趋势线方程及R2值亦列于表中。
一氧化氮(NO)产生实验的结果表明,含有高浓度LPS的草药提取物能够激活巨噬细胞。此外,通过与LPS抑制剂多粘菌素B反应时,NO的产生被显著抑制。Montenegro等人也曾使用LPS抑制剂,以验证NO诱导活性来源于LPS。这12个样本均表现出显著的NO产生抑制作用,抑制率达71%至95%(图4)。添加多粘菌素后NO生成量的下降表明,这些草药提取物激活巨噬细胞的能力主要归因于其中的LPS成分。
图4. 通过测量RAW 264.7细胞在表2所列含最高LPS水平的12种草药样本刺激下产生的NO来确定巨噬细胞活化潜能。
讨论
草药提取物具有多种健康益处,如止血⁴⁴⁻⁴⁵、退热⁴⁶⁻⁴⁷、解毒⁴⁸、发汗⁴⁹、以及免疫刺激作用⁵⁰。其中大多数活性成分为低分子量物质,并作为众多药物的起源,对药物研发做出了重要贡献。草药提取物中的LPS被认为是产生这种免疫刺激作用的原因,因为先前的LPS筛查研究表明,某些草药提取物含有高浓度LPS(>100 μg /g)³²,且已有研究证实口服LPS可增强免疫力,并有效预防和改善多种疾病,包括癌症、病毒感染、特应性皮炎、糖尿病、动脉粥样硬化及阿尔茨海默病³⁸ ⁵¹⁻⁵³。尽管全球有数百种草药提取物,且这些草药提取物中的LPS对其功能发挥作用可能性较高,但从未对其中LPS含量进行测定,也未对不同植物部位来源的提取物之间的差异进行过比较。因此,本研究旨在通过检测北海道科学大学药学系储存的400多种草药提取物样本中的LPS水平,建立草药提取物LPS含量数据库,并为评估草药提取物的免疫刺激作用及LPS对此作用的贡献提供研究基础。
表1显示了414种草药提取物中的LPS含量。LPS浓度范围广泛,从几 μg /g到数百 μg /g不等(图1)。就LPS浓度而言,根部(107份样本)的LPS含量显著高于果实(69份样本)或种子(22份样本)。在本研究检测的414种草药提取物中,约有100种草药提取物的LPS含量≥10 μg/g。其中12种草药提取物的LPS含量非常高,超过100 μg/g。对维管植物不同部位的比较显示,根部来源的草药提取物总体LPS含量较高,显著高于种子和果实来源的草药提取物。在12种高LPS含量的草药提取物中,超过半数(7种)来源于根部。大多数维管植物的根部与土壤细菌共生⁵⁴⁻⁵⁶。土壤中的共生细菌通过参与固氮作用、养分供给和病害防御来促进植物生长。这类细菌被称为植物根际促生微生物(PGPR)⁵⁷,其中假单胞菌属(Pseudomonas)、固氮螺菌属(Azospirillum)、慢生根瘤菌属(Bradyrhizobium)和根瘤菌属(Rhizobium)的细菌尤为重要。这些细菌是革兰氏阴性菌,因此可能导致草药提取物根部的高LPS含量。Montenegro等人曾报道,在具有免疫刺激特性而闻名的中药方剂"十全大补汤"的根部草药提取物——当归中,发现了519种细菌属⁴³。其中,一种存在于土壤和淡水中的革兰氏阴性菌——拉恩氏菌属(Rahnella)在当归中含量丰富。研究指出,当归中的LPS含量与十全大补汤的免疫增强作用相关。本研究还测定了当归(在日本也称为"Angelica acutiloba Kitag.")的LPS含量,结果显示其含有16 μg/g的LPS,在表1所有414个样本中排名第61位(草药样本编号202)。这些结果表明,根部草药提取物中的LPS含量,在生长过程中与植物根部微生物共存的土壤微生物数量相关。这些微生物大多是含有高LPS含量的革兰氏阴性菌。另一方面,各部位组内的变异较大,表明LPS含量的高低可能并不完全取决于样本部位。
植物中所含的LPS被认为来源于共生细菌。因此,共生细菌的种类和数量可能因植物产地、采集时间、品种及栽培方法而异。因此,测量多个样本进行检测具有重要意义,但由于大多数药材为进口产品,难以获取多批次样本。为此,我们决定以单一药材——糙米的LPS含量变化,作为单个药材样本模型进行研究。在先前研究中,我们从日本15个不同地区采集糙米,并检测其LPS含量范围为10.9±4.3 μg/g⁵⁸。尽管糙米的LPS含量未必能普遍适用于其他药材,但我们认为该数据可作为LPS含量变化程度的参考值。与单个药材LPS含量数据(表1、图1)中0.001–100 μg /g的范围相比,该单一样本的LPS含量范围相对稳定。基于此,我们开展实验时认为单个样本即可有效评估LPS含量的大致程度。
本研究采用鲎试剂(LAL)检测草药提取物中的LPS。然而,据报道,β-1,3-葡聚糖亦可与LAL发生反应,因此常规LAL可能存在植物来源β-1,3-葡聚糖污染物的干扰。本研究通过使用含有羧甲基化凝胶(该成分已被证实可阻断 β -1,3-葡聚糖介导的凝血通路⁵⁹)的LAL检测试剂盒,有效防止了此类干扰。因此,本研究中所检测的鲎试剂反应活性归因于LPS特异性。
LPS的巨噬细胞激活能力是其基本作用之一³⁴。因此,本研究采用巨噬细胞样RAW 264.7细胞,通过吞噬能力和一氧化氮(NO)生成来评估草药提取物的巨噬细胞激活潜力。RAW 264.7细胞通过TLR4传递LPS信号。此外,包括人类在内的许多哺乳动物先天免疫系统细胞均表达TLR4⁶¹。因此,尽管本研究以小鼠巨噬细胞作为代表性模型,但可以合理推断粗制药物中所含有的LPS对包括人类在内的哺乳动物普遍具有功能活性。然而,LPS对人体的影响,特别是口服给药时的作用,仍需进一步研究。本研究采用上述方法检测了12种LPS含量特别高(100 μg/g)的样本。结果显示,草药提取物可增强RAW 264.7细胞的吞噬能力(图2)。这些样本诱导的RAW 264.7细胞产生的NO量,产生的NO量,根据12种草药提取物的不同,呈现高于、接近或低于纯化的LPSp(图3)。在活性较高的组别中,LPS本身可能表现出较强的巨噬细胞激活作用。但推测其可能与细菌来源的核酸、肽聚糖及鞭毛蛋白等巨噬细胞激活剂存在协同效应。相反,那些活性弱于肠杆菌科来源LPSp的样本,则可能是由共生革兰氏阴性菌的特性所致,例如拟杆菌属等某些LPS因其脂质A结构而生物学活性较弱⁶²⁻⁶³。此外,当加入LPS抑制剂多粘菌素B时,所有经12种草药提取物刺激的RAW 264.7细胞的NO生成均显著降低(>70%)(图4)。这些结果表明,草药提取物的巨噬细胞激活潜力主要归因于LPS。然而,草药提取物巨噬细胞激活能力的强弱与所含LPS的量并不成正比,且可能因共生细菌的种类不同而存在显著差异。因此,在研究草药提取物的先天免疫激活潜力时,有必要评估并阐明其独特的性质。
草药提取物的常规推荐剂量为每日1-10g⁶⁴⁻⁶⁵。本研究检测LPS含量的414种草药提取物中,有98种LPS含量超过10 µg /g。研究表明,口服LPS在小鼠中以10 µg/kg体重的剂量连续给药7天可增加腹腔巨噬细胞的吞噬活性³⁴;在人体随机对照试验中,以10 µg/kg体重的剂量可增加毛细血管密度;在鱼类实验显示,5-20 μg /kg体重的剂量可增强抗感染的能力⁶⁷。基于这些研究,10 μg/kg体重的LPS可激活先天免疫(相当于50公斤体重的人每日500 μg)。因此,按常规剂量服用草药提取物可能意味着摄入了有效量的LPS,这表明LPS可能是草药提取物发挥药效的成分之一。十全大补汤(一种复方草药提取物)据报道对糖尿病和癌症具有预防和改善作用,部分原因正是因其含有LPS成分⁶⁸⁻⁶⁹。本研究检测的414种草药提取物样本数量远超《日本药典》收录的157种。这些样本量足以作为初步筛选依据,评估口服LPS对免疫功能的功效,以及通过巨噬细胞等免疫细胞激活作用的初步筛选。然而,由于植物中的LPS含量来源于共生革兰氏阴性菌群,且可能因采集时间、品种、栽培方法等因素而存在显著差异,因此研究时,对待测样本的LPS含量应逐个进行谨慎分析。
免|责|声|明:
以上部分内容来源于外网我们重在信息分享,版权归属原作者或原刊发平台所有,如有侵权、信息有误或其他异议,请联系处理,我们将在24小时内删除或整改。
复合免疫 健康活力